430685
»ùÒòǹ »ùÒòµ¼ÈëÒÇ Î¢ÉúÎïÉú³¤ÇúÏß·ÖÎöÒÇ DNA´ò¶ÏÒÇ ·Ö×ÓÔÓ½»Â¯ ×ÏÍâ½»ÁªÒÇ ºËËáÌáÈ¡ÒÇ Ï¸¾úÊèÉ¢¼ÆÊýÒÇ Æ½ÐÐÉúÎï·´Ó³Æ÷ СÐÍÅçÎí¸ÉÔï»ú ¼äЪ½þʽÉúÎï·´Ó³Æ÷
¹¤ÒÕÁ÷³ÌοØÏµÍ³ ºãÎÂ²Û µÍÎÂÀäÈ´Ñ»·±Ã(ÀäÈ´Ñ»·Ë®»ú) ºãÎÂÀäÈ´Ñ»·Æ÷ ºãη´Ó³Ô¡ ½ðÊôÖé×ÓºãÎÂÔ¡ Ðýתճ¶È¼Æ×¨ÓúãβÛ
ʵʱ¹É¼Û ¹«Ë¾Í¨¸æ Ͷ×ÊÕßÈÈÏß Í¶×ÊÕß½»Á÷
EN
ÔÚÌØ¶¨ÁìÓò»òÇé¾³ÖУ¬Õ¹Ê¾²úÎï¡¢·þÎñ»ò½â¾ö·½°¸ÈçºÎ±»Êµ¼ÊÓ¦ÓÃÒÔ½â¾ö¾ßÌåÎÊÌâµÄʵÀý
Åä¾°
¡¡¡¡Ö¬¶àÌÇ(lipopolysaccharide£¬LPS)£¬ÓÖ³ÆÄÚ¶¾ËØ£¬Îª¸ïÀ¼ÊÏÒõÐÔ¾úϸ°û±ÚÍâ±ÚµÄ×é³ÉÉí·Ö£¬¿É×÷ÓÃÓÚĤÊÜÌ弤»î¶àÖÖϸ°û(¾ÞÊÉϸ°û¡¢ÉÏÆ¤Ï¸°û¡¢ÄÚÆ¤Ï¸°ûµÈ)ÐźÅתµ¼ÏµÍ³£¬´Ù½ø´ÙÑ×ϸ°ûÒò×ÓºÍÆäËûÑ×ÐÔ½éÖʵĺϳɼ°ÊÍ·Å£¬Òý·¢Ñ×Ö¢·´Ó³¡£¿Í»§½ÓÄÉLPSÓÕµ¼RAW264.7¾ÞÊÉϸ°û½¨ÉèÌåÍâÑ×֢ģÐÍ£¬Ê¹Óó¬Éù²¨Ï¸°ûÆÆ»µ»ú½«ÂѰ׼°ºËËá´ÓÑ×֢ϸ°ûÖÐÊèÉ¢³öÀ´£¬´Ó»ùÒò¡¢ÂѰ×Ïà¶Ô±í´ïˮƽ·½ÃæÆÀ¹ÀÑòÆÜ²Ë¶à·Ó(Hizikia fusiformis polyphenols£¬HFPs)µÄ¿¹Ñ×»îÐÔ£¬ÎªÆäÔÚÐÂÐÍÒÖÑ×ÖÆ¼ÁµÄ¿ª·¢ÀûÓÃÌṩÀíÂÛÒÀ¾Ý¡£
ÖÊÁÏÓëÒªÁì
1.1ÑòÆÜ²Ë¶à·ÓµÄÖÆ±¸
¡¡¡¡È¡¸ÉÔïÑòÆÜ²Ë·ÛÄ©£¬¼ÓÈëÌå»ý·ÖÊý60%ÒÒ´¼ÈÜÒº£¬Ê¹ÓÃSCIENTZ-IID ³¬Éù¸¨Öú½þÌá(ÁÏÒº±È1:20(m/V)¡¢50¡æ¡¢60min)£¬³éÂ˺óÕæ¿Õ¼õѹÕôÁóÈ¥³ýÒÒ´¼£¬»ñÑòÆÜ²Ë´Ö¶à·ÓÈÜÒº£¬ÒÀ´Î½ÓÄɵÈÌå»ýʯÓÍÃÑ¡¢ÒÒËáÒÒõ¥·Ö¼¶ÝÍÈ¡£¬Õæ¿Õ¼õѹÕôÁóºó¶³¸É(ʹÓà SCIENTZ-12N ÁôËÞ¶³¸É)£¬»ñµÃHFPs·ÛÄ©¡£²âµÃHFPs·ÛÄ©×Ü·Óº¬Á¿Îª23.67¡À0.24 mg/g¡£ÀûÓÃÎÞ¾úË®ÅäÖÆ³É¶à·ÓĸҺ£¬ÔÙÒÔϸ°ûÅàÑøÒºÏ¡ÊÍÖÁ²îÒìŨ¶È£¬ÓÃÓÚºóÐøÊµÑé¡£
1.2Ñ×֢ϸ°ûÅàÑø
¡¡¡¡Ê¹ÓÃÍêÈ«ÅàÑø»ù(º¬10%(Ìå»ý·ÖÊý£¬ÏÂͬ)̥ţѪÇåºÍ1%ÇàÁ´Ã¹ËØË«¿¹DMEMÅàÑø»ù)ÅàÑøRAW264.7ϸ°û£¬37¡æ¡¢5% CO2ÅàÑø£¬Ï¸°ûÈں϶ÈÔ¼80%ʱ½øÐд«´ú¡£È»ºó·Ö³É3×é½øÐÐÅàÑø:¢ÙÒõÐÔ¶ÔÕÕ×飬½ö¼ÓÈ뺬10%̥ţѪÇåµÄDMEMÅàÑø»ù;¢ÚLPSÑôÐÔ¶ÔÕÕ×飬¼ÓÈ뺬LPS (1¦Ìg/mL)ºÍ10%̥ţѪÇåµÄDMEMÅàÑø»ù´Ì¼¤24 h;¢ÛHFPs+LPS×飬¾º¬²îÒìÖÊÁ¿Å¨¶È(10¡¢20¡¢40¡¢60¡¢80¡¢100¡¢120¡¢140¡¢160¡¢180¡¢200¡¢250¡¢300¡¢350¦Ìg/mL)HFPsºÍ10%̥ţѪÇåµÄDMEMÅàÑø»ùÅàÑø24hºó£¬ÒÔº¬LPS(1¦Ìg/mL)ºÍ10%̥ţѪÇåµÄDMEMÅàÑø»ù´Ì¼¤24h¡£
1.3RAW264.7ϸ°ûÑ×Ö¢Ïà¹Ø»ùÒòÏà¶Ô±í´ïÁ¿µÄ²â¶¨
¡¡¡¡1.2ÖÐÅàÑøµÄÈý×éϸ°ûÅàÑø½áÊøºóÆúÈ¥ÅàÑøÒº£¬ÓÃ0.01mol/L¡¢pH7.2µÄÁ×ËáÑλº³åÒº(phosphate buffered saline£¬PBS)Çåϴϸ°û2´Î£¬Ã¿¿×¼ÓÈë500¦ÌL TRIzolÊÔ¼Á£¬Ê¹ÓÃSCIENTZ-IID¼ÓËÙÆÆËéϸ°ûÐÖúÌáÈ¡×ÜRNA£¬³¬Éù²ÎÊýΪ:100W£¬1s¿ª1s¹Ø£¬¹²1min£¬²¢½«RNAÄæ×ªÂ¼ÎªcDNA¡£ÒÔcDNAΪģ°å£¬½ÓÄÉSYBR GreenǶºÏÓ«¹â·¨ÓëÒýÎï½øÐÐʵʱӫ¹â¶¨Á¿PCR¡£²â¶¨Ä¿µÄ»ùÒò(IL-1¦Â¡¢IL-6¡¢TNF-a¡¢COX-2¡¢iNOS)ºÍÄڲλùÒò´Î»ÆàÑßÊÁ×ËáºËÌÇ»ù×ªÒÆÃ¸1(hypoxanthine-guanine phosphoribosyl transferase£¬hprt1)CtÖµ£¬½ÓÄÉ2-¡÷¡÷Ct·¨ÅÌËãÄ¿µÄ»ùÒòµÄÏà¶Ô±í´ïÁ¿¡£
1.4MAPKs¡¢NF-KBÐźÅͨ·Ҫº¦ÂѰ×Ïà¶Ô±í´ïÁ¿²â¶¨
¡¡¡¡1.2ÖÐÅàÑøµÄÈý×éϸ°ûÅàÑø½áÊøºóÆúÈ¥ÅàÑøÒº£¬ÓÃ0.01mol/L¡¢pH7.2µÄÁ×ËáÑλº³åÒº(phosphate buffered saline£¬PBS)Çåϴϸ°û2´Î£¬¼ÓÈë200¦ÌL RIPAϸ°ûÁѽâÒº£¬Ê¹ÓÃSCIENTZ-IID¼ÓËÙÆÆËéϸ°ûÐÖúÌáÈ¡ÂѰ×ÖÊ£¬³¬Éù²ÎÊýΪ:100W£¬1s¿ª1s¹Ø£¬¹²1min£¬ÀëÐÄ(12000r/min¡¢4¡æ)10minÈ¡ÉÏÇåÒº¡£½ÓÄÉBCAÂѰ×ÖÊÁ¿Å¨¶È²â¶¨ÊÔ¼ÁºÐ²â¶¨¸÷×éÂѰ×Ũ¶È£¬ÓÃÂѰ×ÉÏÑù»º³åÒºµ÷ÕûÂѰ×ÖÊÁ¿Å¨¶ÈΪ2mg/mL£¬95¡æ¼ÓÈÈ10minʹÂѰױäÐÔÈ»ºó½øÐÐÊ®¶þÍé»ùÁòËáÄÆ-¾Û±ûÏ©õ£°·Äý½ºµçÓ¾ÊèÉ¢;ʪתµ½¾ÛÆ«¶þ·úÒÒϩĤ;5%(ÖÊÁ¿·ÖÊý)ÍÑÖ¬ÄÌ·Û(TBSTÈÜÒºÅäÖÆ)¹Ø±Õ1h;Ò»¿¹4¡æ·õÓý12h;¶þ¿¹ÊÒηõÓý2h;¼ÓÈëECLÊÔ¼Á½øÐÐÏÔÉ«·´Ó³£¬²â¶¨ÂѰ×Ìõ´ø»Ò¶ÈÖµ¡£ÒÔ¦Â-actinΪÄڲΣ¬Ä¿µÄÂѰװüÂÞiNOS¡¢p65¡¢p-p65¡¢p38¡¢p-p38¡¢JNKºÍp-JNK£¬»®·ÖÒÔp-p38/p38¡¢p-JNK/JNK¡¢p-p65/p65ÌåÏÖÏàÓ¦ÂѰ×Á×Ëữˮƽ¡£
½á¹ûÓë·ÖÎö
01RAW264.7ϸ°ûÑ×Ö¢Ïà¹Ø»ùÒòÏà¶Ô±í´ïÁ¿µÄ²â¶¨½á¹û
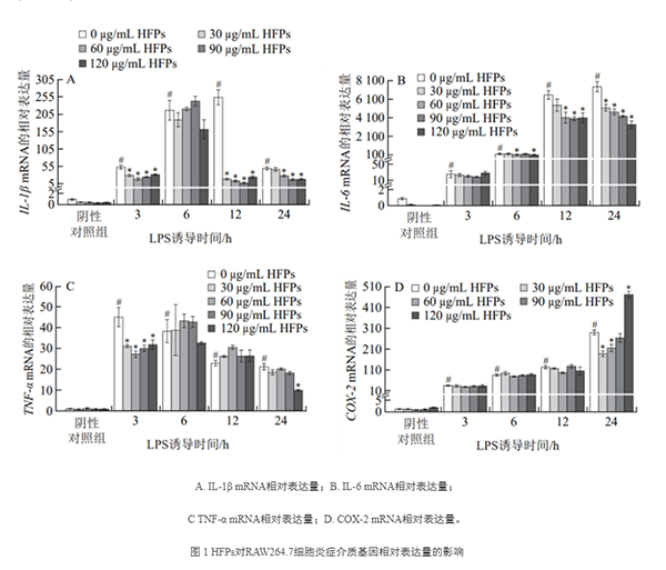
¡¡¡¡½ÓÄÉʵʱӫ¹â¶¨Á¿PCR²â¶¨HFPs¶ÔLPSÓÕµ¼µÄ¾ÞÊÉϸ°ûÖÐÖØÒª´ÙÑ×ϸ°ûÒò×ÓIL-1¦Â¡¢IL-6ºÍTNF-a»ùÒòÏà¶Ô±í´ïÁ¿£¬ÒÔ¼°Ñ×Ö¢Ïà¹ØÃ¸COX-2»ùÒòÏà¶Ô±í´ïÁ¿µÄÓ°Ïì¡£Èçͼ1Ëùʾ£¬LPS´Ì¼¤²îÒìʱ¼äºó£¬ËùÓÐÑ×Ö¢½éÖʵÄmRNA±í´ïˮƽ¾ùÏÔÖøÌá¸ß(P<0.05)¡£HFPs¶Ô´ÙÑ×ϸ°ûÒò×ÓµÄÒÖÖÆ×÷ÓÃÓëÆä¼ÁÁ¿¡¢LPSÓÕµ¼Ê±¼ä¼°Ï¸°ûÒò×ÓÖÖÀàÏà¹Ø¡£ÓëLPS×éÏà±È£¬¾²Ï¢×´Ì¬Ï¸°û¾HFPs´¦Öóͷ£ÔÙ¾LPSÓÕµ¼12¡¢24hºó£¬IL-1¦ÂºÍIL-6µÄ»ùÒòÏà¶Ô±í´ïÁ¿ÏÔÖøÏ½µ;HFPsÏÔÖøÒÖÖÆLPSÓÕµ¼3hºóTNF-a»ùÒòµÄÏà¶Ô±í´ï£¬¶øÔÚLPSÓÕµ¼6~24hµÄÒÖÖÆ×÷ÓÃ×ÜÌå²»Ã÷ÏÔ¡£ÔÚLPSÓÕµ¼24h£¬½ÏµÍ¼ÁÁ¿HFPs(30¡¢60¦Ìg/mL) Ô¤´¦Öóͷ£¶ÔCOX-2»ùÒò±í´ï¾ßÓÐÏÔÖøÒÖÖÆ×÷Ó㬵«Ìá¸ß¼ÁÁ¿ºó¸ÃÒÖÖÆÐ§¹ûÏûʧ£¬ÉõÖÁ·ºÆð·´Ïò´Ù½ø×÷Óã¬120¦Ìg/mL HFPsÔ¤´¦Öóͷ£´ÙʹCOX-2Ïà¶Ô±í´ïÁ¿½ÏLPS×éÏÔÖøÉÏÉý(P<0.05).

02MAPKs¡¢NF-KBÐźÅͨ·Ҫº¦ÂѰ×Ïà¶Ô±í´ïÁ¿²â¶¨
¡¡¡¡1.2ÖÐÅàÑøµÄÈý×éϸ°ûÅàÑø½áÊøºóÆúÈ¥ÅàÑøÒº£¬ÓÃ0.01mol/L¡¢pH7.2µÄÁ×ËáÑλº³åÒº(phosphate buffered saline£¬PBS)Çåϴϸ°û2´Î£¬¼ÓÈë200¦ÌL RIPA ϸ°ûÁѽâÒº£¬Ê¹ÓÃSCIENTZ-IID¼ÓËÙÆÆËéϸ°ûÐÖúÌáÈ¡ÂѰ×ÖÊ£¬³¬Éù²ÎÊýΪ:100W£¬1s¿ª1s¹Ø£¬¹²1min£¬ÀëÐÄ(12000r/min¡¢4¡æ)10minÈ¡ÉÏÇåÒº¡£½ÓÄÉBCAÂѰ×ÖÊÁ¿Å¨¶È²â¶¨ÊÔ¼ÁºÐ²â¶¨¸÷×éÂѰ×Ũ¶È£¬ÓÃÂѰ×ÉÏÑù»º³åÒºµ÷ÕûÂѰ×ÖÊÁ¿Å¨¶ÈΪ2mg/mL£¬95¡æ¼ÓÈÈ10minʹÂѰױäÐÔÈ»ºó½øÐÐÊ®¶þÍé»ùÁòËáÄÆ-¾Û±ûÏ©õ£°·Äý½ºµçÓ¾ÊèÉ¢;ʪתµ½¾ÛÆ«¶þ·úÒÒϩĤ;5%(ÖÊÁ¿·ÖÊý)ÍÑÖ¬ÄÌ·Û(TBSTÈÜÒºÅäÖÆ)¹Ø±Õ1h;Ò»¿¹4 ¡æ·õÓý12h;¶þ¿¹ÊÒηõÓý2h;¼ÓÈëECLÊÔ¼Á½øÐÐÏÔÉ«·´Ó³£¬²â¶¨ÂѰ×Ìõ´ø»Ò¶ÈÖµ¡£ÒÔ¦Â-actinΪÄڲΣ¬Ä¿µÄÂѰװüÂÞiNOS¡¢p65¡¢p-p65¡¢p38¡¢p-p38¡¢JNKºÍp-JNK£¬»®·ÖÒÔp-p38/p38¡¢p-JNK/JNK¡¢p-p65/p65ÌåÏÖÏàÓ¦ÂѰ×Á×Ëữˮƽ¡£

×ܽá
¡¡¡¡¿Í»§½ÓÄÉLPSÓÕµ¼RAW264.7¾ÞÊÉϸ°û½¨ÉèÌåÍâÑ×֢ģÐÍ£¬Ê¹Óó¬Éù²¨Ï¸°ûÆÆ»µ»ú½«ÂѰ׼°ºËËá´ÓÑ×֢ϸ°ûÖÐÊèÉ¢³öÀ´£¬´Ó»ùÒò¡¢ÂѰ×Ïà¶Ô±í´ïˮƽ·½ÃæÆÀ¹ÀÑòÆÜ²Ë¶à·Ó(Hizikia fusiformispolyphenols£¬HFPs)µÄ¿¹Ñ×»îÐÔ£¬ÎªÆäÔÚÐÂÐÍÒÖÑ×ÖÆ¼ÁµÄ¿ª·¢ÀûÓÃÌṩÀíÂÛÒÀ¾Ý¡£³¬Éù²¨Ï¸°ûÆÆ»µ»úÔÚÕû¸öʵÑéÖÐÆðµ½×÷ÓÃÈçÏÂ:
¡¡¡¡01¸¨ÖúÌáÈ¡ÑòÆÜ²ËÖжà·Ó×é·Ö£¬¼ÓËÙ¶à·Ó×é·ÖÊÍ·Å£¬Ëõ¶ÌÁËÌáÈ¡½ø³Ì£¬ºóÐøÍ¨¹ý¶³¸É²½Öè¼´¿É»ñµÃÑòÆÜ²Ë¶à·Ó·ÛÄ©£¬Èܽâºó±¸ÓÃ;
¡¡¡¡02´îÅäTRIzolÊÔ¼Á¶Ôϸ°ûÖÐ×ÜRNA½øÐÐÌáÈ¡£¬ÊÔ¼ÁÖк¬Óб½·Ó£¬¿É¼ÓËÙϸ°ûÆÆËéºÍºËËáÊÍ·Å£¬»¹¼ÓÈëºËËáøÒÖÖÆÎïÖÊ·ÀÖ¹RNA½µ½â£¬PCR½á¹û½²Ã÷ÌáÈ¡µÄRNAŨ¶ÈÓë´¿¶È½ÏºÃ£¬¿ÉÓÃÓÚÏà¹Ø»ùÒò±í´ïÇé¿öµÄ·ÖÎö;
¡¡¡¡03´îÅäRIPAÁѽâÒº¶Ôϸ°ûÖеÄÂѰ×ÖʽøÐÐÌáÈ¡£¬´ó·ùÌÔÌÔ±¾±ùÉÏÁѽâËùÐèʱ¼ä(30 min)£¬ÊÔ¼ÁÖк¬ÓеÄÂѰ×øÒÖÖÆ¼Á¿É·ÀÖ¹ÂѰ׽µ½â£¬»¹º¬ÓÐÁ×ËáøÒÖÖÆ¼Á£¬·ÀÖ¹ÂѰ×ÌáÈ¡ºóµÄÔÙÐÞÊΣ¬¸üºÃ²â¶¨ÂѰ×Á×Ëữ״̬¡£
24Сʱ·þÎñÈÈÏß 18106650612